Week 2: Linear Algebra
- Bree Ford
- Jan 30, 2020
- 1 min read
Second week of Linear Algebra with Dr. Patel at UT Dallas!
MATH 2418 | January 21 & 23, 2020
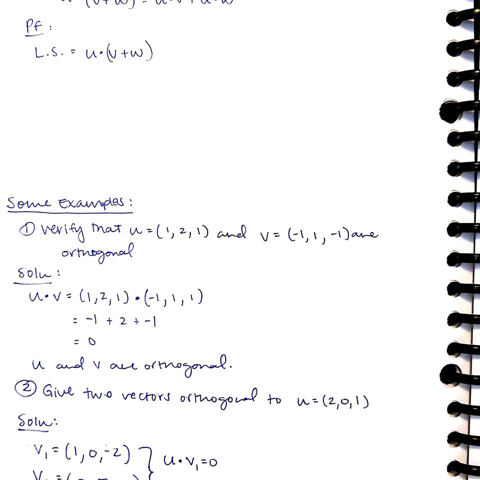
There was a proof that Dr. Patel suggested we do outside of class on the second page. I will upload the solution to that proof once I have a chance to verify my work!







































Comments